一、三極管的三種連接方式
三極管在電路中的連接方式有三種:①共基極接法;②共發射極接法,③共集電極接法。如圖Z0115所示。共什么極是指電路的輸入端及輸出端以這個極作為公共端。必須注意,無論那種接法,為了使三極管具有正常的電流放大作用,都必須外加大小和極性適當的電壓。即必須給發射結加正向偏置電壓,發射區才能起到向基區注入載流子的作用;必須給集電結加反向偏置電壓(一般幾~幾十伏),在集電結才能形成較強的電場,才能把發射區注入基區,并擴散到集電結邊緣的載流子拉入集電區,使集電區起到收集載流子的作用。

二、三極管內部載流子的運動規律
在發射結正偏、集電結反偏的條件下,三極管內部載流子的運動,可分為3個過程,下面以NPN型三極管為例來討論(共射極接法)。
1.發射區向基區注入載流子的過程
由于發射結外加正向電壓,發射區的電子載流子源源不斷地注入基區,基區的多數載流子空穴,也要注入發射區。如圖Z0116所示,二者共同形成發射極電流IE。但是,由于基區摻雜濃度比發射區小2~3個數量級,注入發射區的空穴流與注入基區的電子流相比,可略去。

2. 載流子在基區中擴散與復合的過程
由發射區注入基區的電子載流子,其濃度從發射結邊緣到集電結邊緣是逐漸遞減的,即形成了一定的濃度梯度,因而,電子便不斷地向集電結方向擴散。由于基區寬度制作得很小,且摻雜濃度也很低,從而大大地減小了復合的機會,使注入基區的95%以上的電子載流子都能到達集電結。故基區中是以擴散電流為主的,且擴散與復合的比例決定了三極管的電流放大能力。
3.集電區收集載流子的過程
集電結外加較大的反向電壓,使結內電場很強,基區中擴散到集電結邊緣的電子,受強電場的作用,迅速漂移越過集電結而進入集電區,形成集電極電流Inc。另一方面,集電結兩邊的少數載流子,也要經過集電結漂移,在c,b之間形成所謂反向飽和電流ICBO,不過,ICBO一般很小,因而集電極電流
INC +ICBO ≈ INC GS0105
同時基極電流
IB = IPB +IE -ICBO≈IPB - ICBO GS0106
反向飽和電流ICBO與發射區無關,對放大作用無貢獻,但它是溫度的函數,是管子工作不穩定的主要因素。制造時,總是盡量設法減小它。
三、三極管的電流分配關系與放大作用
1.電流分配關系
由圖Z0116可知,三極管三個電極上的電流組成如下:
發射極電流IE
IE=INE+IPE ≈INE GS0107
基極電流IB
IB = IPB + IPE - ICBO ≈IPB - ICBO
集電極電流IC
IC=INC +ICBO≈ INC
同時由圖Z0116也可看出
INE= INC +IPB GS0108
由以上諸式可得到
IE=IC+ IB GS0109
它表明,發射極電流IE按一定比例分配為集電極電流Ic和基極電流 IB 兩個部分,因而晶體三極管實質上是一個電流分配器件。對于不同的晶體管,盡管IC與IB的比例是不同的,但上式總是成立的,所以它是三極管各極電流之間的基本關系式。
由圖Z0116也可以看出,INC 代表由發射區注入基區進而擴散到集電區的電子流,IPB代表從發射區注入基區被復合后形成的電流。對于一個特定的三極管,這二者的比例關系是確定的,通常將這個比值稱為共發射極直流電流放大系數。用β表示,
即


如果忽略ICBO,則
該式說明IB對IC有控制作用。
變換一下式GS0110,可寫成

令
則上式可寫成:


此式表明,集電極電流由兩部分組成:一部分是6.jpg,它表示IC與IB的比例關系,另一部分是

稱為穿透電流其意義將在三極管參數中介紹。
綜合共射極三極管的電流分配關系,可寫為

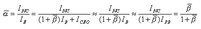
三極管的電流分配關系還可以用由發射區傳輸到集電區的電子流 INC與發射極總發射的電子流IE之間的比例關系來表示。將這二者的比值稱為共基極直流電流放大系數,用 表示即:

由于 IC = INC+IICBO,且IC >>ICBO,故:


由上可得出共基極電流分配關系為

和 都是描述三極管的同一過程,它們之間必然存在著內在聯系。由它們各自的表達式知:

即


烜芯微專業制造二極管,三極管,MOS管,橋堆等,20年,工廠直銷省20%,1500家電路電器生產企業選用,專業的工程師幫您穩定好每一批產品,如果您有遇到什么需要幫助解決的,可以直接聯系上方的聯系號碼或加QQ,由我們的銷售經理給您精準的報價以及產品介紹