LM393是雙電壓比較器集成電路。
1.LM393中文資料

圖片來源于網絡
輸出負載電阻能銜接在可允許電源電壓范圍內的任何電源電壓上,不受 Vcc 端電壓值的限制,輸出部分的陷電流被可能得到的驅動和器件的β值所限制。當達到極限電流(16mA)時,輸出晶體管將退出而且輸出電壓將很快上升。輸出飽和電壓被輸出晶體管大約 60ohm 的γSAT 限制。當負載電流很小時,輸出晶體管的低失調電壓(約 1.0mV)允許 輸出箝位在零電平。
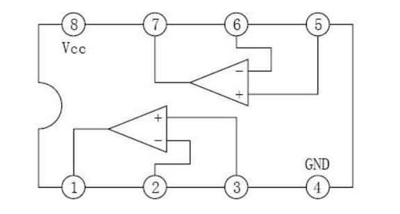
2.引腳圖及功能

1.OUTA 輸出 A
2.INA- 反相輸入 A
3.INA+ 同相輸入 A
4.GND 接地端
5.INB+ 同相輸入 B
6.INB- 反相輸入 B
7.OUT B 輸出 B
8.Vcc 電源電壓
3.工作原理
LM393 是高增益,寬頻帶器件,像大多數比較器一樣,如果輸出端到輸入端有寄生電容而產生耦合,則很容易產生振蕩。這種現象僅僅出現在當比較器改變狀態時,輸出電壓過渡的間隙,電源加旁路濾波并不能解決這個問題,標準 PC 板的設計對減小輸入 - 輸出寄生電容耦合是有助的。減小輸入電阻至小于 10K 將減小反饋信號,而且增加甚至很小的正反饋量(滯回 1.0~10mV)能導致快速轉換,使得不可能產生由于寄生電容引起的振蕩,除非利用滯后,否則直接插入 IC(集成電路板 integrated circuit,縮寫:IC) 并在引腳上加上電阻將引起輸入 - 輸出在很短的轉換周期內振蕩,如果輸入信號是脈沖波形,并且上升和下降時間相當快,則滯回將不需要。
(1)比較器的所有沒有用的引腳必須接地。
(2)LM393 偏置網絡確立了其靜態電流與電源電壓范圍 2.0~30V 無關。
(3)通常電源不需要加旁路電容。
(4)差分輸入電壓可以大于 Vcc 并不損壞器件,保護部分必須能阻止輸入電壓向負端超過 -0.3V。
(5)當負載電流很小時,輸出晶體管的低失調電壓(約 1.0mV)允許輸出箝位在零電平。
(6)LM393 的輸出部分是集電極開路,發射極接地的 NPN 輸出晶體管,可以用多集電極輸出提供或 OR ing 功能。此輸出能作為一個簡單的對地 SPS 開路(當不用負載電阻沒被運用),輸出部分的陷電流被可能得到的驅動和器件的β值所限制。當達到極限電流(16mA)時,輸出晶體管將退出而且輸出電壓將很快上升。輸出飽和電壓被輸出晶體管大約 60ohm 的γSAT 限制。
4.內部結構

5.作用和用途
輸出負載電阻能銜接在可允許電源電壓范圍內的任何電源電壓上,不受 Vcc 端電壓值的限制,輸出部分的陷電流被可能得到的驅動和器件的β值所限制 . 當達到極限電流(16mA)時,輸出晶體管將退出而且輸出電壓將很快上升。輸出飽和電壓被輸出晶體管大約 60ohm 的γSAT 限制。當負載電流很小時,輸出晶體管的低失調電壓(約 1.0mV)允許 輸出箝位在零電平。
烜芯微專業制造二極管,三極管,MOS管,橋堆等20年,工廠直銷省20%,4000家電路電器生產企業選用,專業的工程師幫您穩定好每一批產品,如果您有遇到什么需要幫助解決的,可以點擊右邊的工程師,或者點擊銷售經理給您精準的報價以及產品介紹
烜芯微專業制造二極管,三極管,MOS管,橋堆等20年,工廠直銷省20%,4000家電路電器生產企業選用,專業的工程師幫您穩定好每一批產品,如果您有遇到什么需要幫助解決的,可以點擊右邊的工程師,或者點擊銷售經理給您精準的報價以及產品介紹