1、晶閘管(SCR)
晶體閘流管簡稱晶閘管,也稱為可控硅整流元件(SCR),是由三個 PN 結構成的一種大功率半導體器件。在性能上,晶閘管不僅具有單向導電性,而且還具有比硅整流元件更為可貴的可控性,它只有導通和關斷兩種狀態。
晶閘管的優點很多,例如:以小功率控制大功率,功率放大倍數高達幾十萬倍;反應極快,在微秒級內開通、關斷;無觸點運行,無火花、無噪聲;效率高,成本低等。因此,特別是在大功率 UPS 供電系統中,晶閘管在整流電路、靜態旁路開關、無觸點輸出開關等電路中得到廣泛的應用。
晶閘管的弱點:靜態及動態的過載能力較差,容易受干擾而誤導通。
晶閘管從外形上分類主要有:螺栓形、平板形和平底形。
2、普通晶閘管的結構和工作原理
晶閘管是 PNPN 四層三端器件,共有三個 PN 結。分析原理時,可以把它看作是由一個 PNP 管和一個 NPN 管所組成,其等效圖解如圖 1(a)所示,圖 1(b)為晶閘管的電路符號。


圖 1 晶閘管等效圖解圖
2.1、晶閘管的工作過程
晶閘管是四層三端器件,它有 J1、J2、J3 三個 PN 結,可以把它中間的 NP 分成兩部分,構成一個 PNP 型三極管和一個 NPN 型三極管的復合管。
當晶閘管承受正向陽極電壓時,為使晶閘管導通,必須使承受反向電壓的 PN 結 J2 失去阻擋作用。每個晶體管的集電極電流同時就是另一個晶體管的基極電流。因此是兩個互相復合的晶體管電路,當有足夠的門極電流 Ig 流入時,就會形成強烈的正反饋,造成兩晶體管飽和導通。
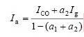
設 PNP 管和 NPN 管的集電極電流分別為 IC1 和 IC2,發射極電流相應為 Ia 和 Ik,電流放大系數相應為α1=IC1/Ia 和α2=IC2/Ik,設流過 J2 結的反相漏電流為 ICO,晶閘管的陽極電流等于兩管的集電極電流和漏電流的總和:
Ia=IC1+IC2+ICO=α1Ia+α2Ik+ICO (1)
若門極電流為 Ig,則晶閘管陰極電流為:Ik=Ia+Ig。
因此,可以得出晶閘管陽極電流為:


(2)硅 PNP 管和硅 NPN 管相應的電流放大系數α1 和α2 隨其發射極電流的改變而急劇變化。當晶閘管承受正向陽極電壓,而門極未接受電壓的情況下,式(1)中 Ig=0,(α1+α2)很小,故晶閘管的陽極電流 Ia≈ICO,晶閘管處于正向阻斷狀態;當晶閘管在正向門極電壓下,從門極 G 流入電流 Ig,由于足夠大的 Ig 流經 NPN 管的發射結,從而提高放大系數α2,產生足夠大的集電極電流 IC2 流過 PNP 管的發射結,并提高了 PNP 管的電流放大系數α1,產生更大的集電極電流 IC1 流經 NPN 管的發射結,這樣強烈的正反饋過程迅速進行。
當α1 和α2 隨發射極電流增加而使得(α1+α2)≈1 時,式(1)中的分母 1-(α1+α2)≈0,因此提高了晶閘管的陽極電流 Ia。這時,流過晶閘管的電流完全由主回路的電壓和回路電阻決定,晶閘管已處于正向導通狀態。晶閘管導通后,式(1)中 1-(α1+α2)≈0,即使此時門極電流 Ig=0,晶閘管仍能保持原來的陽極電流 Ia 而繼續導通,門極已失去作用。在晶閘管導通后,如果不斷地減小電源電壓或增大回路電阻,使陽極電流 Ia 減小到維持電流 IH 以下時,由于α1 和α2 迅速下降,晶閘管恢復到阻斷狀態。
2.2、晶閘管的工作條件
由于晶閘管只有導通和關斷兩種工作狀態,所以它具有開關特性,這種特性需要一定的條件才能轉化,此條件見表 1。


表 1 晶閘管導通和關斷條件
(1)晶閘管承受反向陽極電壓時,無論門極承受何種電壓,晶閘管都處于關斷狀態。
(2)晶閘管承受正向陽極電壓時,僅在門極承受正向電壓的情況下晶閘管才導通。
(3)晶閘管在導通情況下,只要有一定的正向陽極電壓,無論門極電壓如何,晶閘管保持導通,即晶閘管導通后,門極失去作用。
(4)晶閘管在導通情況下,當主回路電壓(或電流)減小到接近于零時,晶閘管關斷。
3、晶閘管的伏安特性和主要參數
3.1、晶閘管的伏安特性
晶閘管陽極 A 與陰極 K 之間的電壓與晶閘管陽極電流之間關系稱為晶閘管伏安特性,如圖 2 所所示。正向特性位于第一象限,反向特性位于第三象限。


圖 2 晶閘管伏安特性參數示意圖
(1) 反向特性
當門極 G 開路,陽極加上反向電壓時(見圖 3),J2 結正偏,但 J1、J2 結反偏。此時只能流過很小的反向飽和電流,當電壓進一步提高到 J1 結的雪崩擊穿電壓后,同時 J3 結也擊穿,電流迅速增加,如圖 2 的特性曲線 OR 段開始彎曲,彎曲處的電壓 URO 稱為“反向轉折電壓”。此后,晶閘管會發生永久性反向擊穿。


圖 3 陽極加反向電壓


圖 4 陽極加正向電壓
(2) 正向特性
當門極 G 開路,陽極 A 加上正向電壓時(見圖 4),J1、J3 結正偏,但 J2 結反偏,這與普通 PN 結的反向特性相似,也只能流過很小電流,這叫正向阻斷狀態,當電壓增加,如圖 2 的特性曲線 OA 段開始彎曲,彎曲處的電壓 UBO 稱為“正向轉折電壓”。
由于電壓升高到 J2 結的雪崩擊穿電壓后,J2 結發生雪崩倍增效應,在結區產生大量的電子和空穴,電子進入 N1 區,空穴進入 P2 區。進入 N1 區的電子與由 P1 區通過 J1 結注入 N1 區的空穴復合。同樣,進入 P2 區的空穴與由 N2 區通過 J3 結注入 P2 區的電子復合,雪崩擊穿后,進入 N1 區的電子與進入 P2 區的空穴各自不能全部復合掉。這樣,在 N1 區就有電子積累,在 P2 區就有空穴積累,結果使 P2 區的電位升高,N1 區的電位下降,J2 結變成正偏,只要電流稍有增加,電壓便迅速下降,出現所謂負阻特性,見圖 2 中的虛線 AB 段。這時 J1、J2、J3 三個結均處于正偏,晶閘管便進入正向導電狀態——通態,此時,它的特性與普通的 PN 結正向特性相似,如圖 2 的 BC 段。
(3) 觸發導通
在門極 G 上加入正向電壓時(如圖 5 所示),因 J3 正偏,P2 區的空穴進入 N2 區,N2 區的電子進入 P2 區,形成觸發電流 IGT。在晶閘管的內部正反饋作用(如圖 2)的基礎上,加上 IGT 的作用,使晶閘管提前導通,導致圖 2 中的伏安特性 OA 段左移,IGT 越大,特性左移越快。


圖 5 陽極和門極均加正向電壓
3.2、晶閘管的主要參數
(1)斷態重復峰值電壓 UDRM
門極開路,重復率為每秒 50 次,每次持續時間不大于 10ms 的斷態最大脈沖電壓,UDRM=90%UDSM,UDSM 為斷態不重復峰值電壓。UDSM 應比 UBO 小,所留的裕量由生產廠家決定。
(2)反向重復峰值電壓 URRM
其定義同 UDRM 相似,URRM=90%URSM,URSM 為反向不重復峰值電壓。
(3)額定電壓
選 UDRM 和 URRM 中較小的值作為額定電壓,選用時額定電壓應為正常工作峰值電壓的 2~3 倍,應能承受經常出現的過電壓。
烜芯微專業制造二極管,三極管,MOS管,橋堆等20年,工廠直銷省20%,4000家電路電器生產企業選用,專業的工程師幫您穩定好每一批產品,如果您有遇到什么需要幫助解決的,可以點擊右邊的工程師,或者點擊銷售經理給您精準的報價以及產品介紹
烜芯微專業制造二極管,三極管,MOS管,橋堆等20年,工廠直銷省20%,4000家電路電器生產企業選用,專業的工程師幫您穩定好每一批產品,如果您有遇到什么需要幫助解決的,可以點擊右邊的工程師,或者點擊銷售經理給您精準的報價以及產品介紹