MOSFET的dv/dt是指開關瞬態過程中漏極-源極電壓的變化率。
如果dv/dt太大,可能發生振鈴,進而可能導致MOSFET損壞。
①靜態dV/dt:會引起MOSFET柵極電壓變化,導致錯誤開通。在柵源間并聯電阻,可防止誤開通。
②動態dV/dt:回路中電感在MOSFET關斷時,引起動態dV/dt;工作頻率越高,負載等效電感越大,器件同時承受大的漏極電流和高漏極電壓,將導致器件損壞。加吸收回路,減小引線長度,采用諧振型電路,可抑制dV/dt。
③二極管恢復期dV/dt:在MOSFET使用中,二極管發生續流過程時,漏極電壓快速上升,內部二極管反向恢復過程中導致損壞。主要原因是寄生二極管表現為少子器件,有反向恢復時間,反向恢復期間存儲電荷快速消失,會增大電流密度和電場強度,引起局部擊穿(如二次擊穿),導致器件損壞。
由高dV/dt導致的器件誤導通的機理包括兩種:
(1)通過CGD反饋回輸入端.如I1電流,RG是總柵極電阻,VGS表示為:

當VGS超過器件的閾值電壓Vth,器件進入導通狀態,在該機制下,dV/dt由以下關系式限定:

低Vth器件更加容易導致 dV/dt誤導通。在高溫環境中必須考慮到Vth的負溫度系數。并且對于柵阻抗需要認真考慮,來避免誤導通。
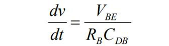
對于由高dv/dt誤導通的第二種機制為 MOSFET的開通是由于寄生BJT的導通. 體二極管電容CDB,如電流I2。
該機制下dV/dt由以下關系式決定:

在較高的dV/dt和較大的基區電阻RB情況下,MOSFET的擊穿電壓由 BJT決定。通過提高體區摻雜濃度并減小位移電流 I2來提高dV/dt的能力。隨著環境溫度升高,BJT的RB增大,VBE降低,影響器件dV/dt的能力。
〈烜芯微/XXW〉專業制造二極管,三極管,MOS管,橋堆等,20年,工廠直銷省20%,上萬家電路電器生產企業選用,專業的工程師幫您穩定好每一批產品,如果您有遇到什么需要幫助解決的,可以直接聯系下方的聯系號碼或加QQ/微信,由我們的銷售經理給您精準的報價以及產品介紹
聯系號碼:18923864027(同微信)
QQ:709211280